今日成果推介:
Ziye Wang, Nijiati Yalikun*, and Yakefu Reyimuaji. Role of the short-range dynamics in a simultaneous interpretation of P_cs pentaquarks as Ξ_c^((',*)) D ̅^((*))molecules. Physical Review C 112, 045205 (2025).
个人简介:
尼加提·亚力坤,理学博士,6776永利集团副教授,硕士研究生导师。从事多夸克态、粒子物理标准模型的扩展以及高能物理微扰QCD计算等方面的理论研究工作,主持自治区自然科学基金1项、自治区人才类项目1项, 在Physical Review C/D等刊物上发表多篇学术论文。

研究领域:
粒子物理理论、多夸克态唯象学
研究背景/选题意义/研究价值:
近年来,LHCb、Belle 和 Belle II 等实验合作组相继发现多个位于重介子对阈值附近的奇特强子态(如 P_c (4312)、P_c (4440)、P_c (4457)和P_cs (4459) 等),这些态难以用传统夸克模型解释,强烈暗示其可能具有“强子分子”结构。然而,这类近阈值束缚态或共振态的形成不仅依赖于长程介子交换力,更对短程接触相互作用高度敏感。厘清短程动力学的作用,是理解奇特强子内部结构、区分不同理论图像的关键。
主要研究内容

图1 隐粲五夸克强子分子态

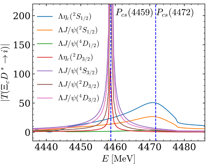
图2 Ξ_c D ̅^*散射到Λη_c (J/ψ)末态的T矩阵随总能量的变化
该研究聚焦于量子色动力学(QCD)在低能区的非微扰行为。传统强子模型认为,强子仅由三个夸克(重子)或一对正反夸克(介子)构成。然而自2003年Belle实验发现X(3872)以来,全球多个实验陆续观测到数十个无法用传统分类解释的新粒子,其质量、量子数或衰变模式强烈暗示它们可能具有四夸克、五夸克甚至更复杂的结构。这些被称为“奇特强子态”的新物质形态,被认为是探索强相互作用本质的关键窗口。其中,一类重要的理论图像——“强子分子态”,认为这些粒子是由两个或多个常规强子通过残余强相互作用松散结合而成,类似于原子通过电磁力形成分子。要判断一个奇特态是否为分子态,关键在于精确计算其形成机制,并与实验数据比对。
本团队在手征有效场论的框架下构建了Ξ_c^((',*)) D ̅^((*))系统的单玻色子有效势模型,同时包含短程相互作用(以δ函数形式参数化)。通过求解非微扰薛定谔方程,并在复能量平面上分析S矩阵极点的位置,团队讨论了Ξ_c^((',*)) D ̅^((*))等隐粲五夸克系统的束缚特性。研究表明,LHCb 实验组的P_cs (4459)和Belle实验组的P_cs (4472)很可能对应Ξ_c^' D ̅-Ξ_c D ̅^*耦合道系统中两个近阈共振态(图1)。
研究明确指出:短程接触项的强度对共振态是否存在起着“开关”作用——即使长程力足够吸引,若短程贡献不足,系统仍无法形成较窄的共振态。在此基础下,该模型预言了新的P_cs类五夸克态候选者。团队进一步计算了Ξ_c D ̅^*→Λη_c (J/ψ)过程的散射T矩阵随系统总能量的变化(图2)。图中两个峰值对应LHCb和Belle实验组P_cs (4459) 和 P_cs (4472)五夸克态的共振峰。当自旋宇称J^P=1/2^- 时,Ξ_c^' D ̅^* (〖^2〗 S_(1/2) )→Λη_c (〖^2〗S_(1/2) ) 的跃迁强度比其他通道更强,因此Λη_c (〖^2〗S_(1/2) )道的产生率更为显著,这使得在该道中探测P_cs (4472) 五夸克态比在其他道更容易。对于J^P=3/2^- 态,对应于P_cs (4459) 的峰明显更窄,且ΛJ/ψ(〖^4〗S_(3/2) ) 通道的产生率也比其他道更高,表明该道对探测P_cs (4459) 五夸克态尤为重要。这些结果不仅深化了对现有奇特强子结构的理解,也为未来实验探索提供了重要线索。
研究结论:
该论文采用单玻色子交换模型研究 Ξ_c^((',*)) D ̅^((*))系统中的隐粲强子分子态。通过调节参数a来调控短程相互作用,团队在同位旋标量系统中发现了十个束缚态。分析表明,如果 LHCb 合作组观测到的P_cs (4459) 与 Belle 合作组发现的P_cs (4472) 确实是两个不同的五夸克态,则它们之间的质量劈裂可以通过在一致模型参数下,利用Ξ_c^' D ̅-Ξ_c D ̅^*耦合道动力学得到解析。基于这一组一致的模型参数,团队在 4.3–4.7 GeV 的质量区间内预言了多个新的强子分子态候选者。此外,团队讨论了Λη_c 和 ΛJ/ψ 衰变道对所预言强子分子态的影响,揭示了这些通道如何影响极点位置,并为通过不同产生机制探测这些态的可探测性提供了重要见解。
主要创新点:
本研究首次在统一框架下讨论了短程动力学对隐粲五夸克分子态形成的作用。不仅为P_cs系列态提供了自洽的强子分子解释,也为未来在 LHCb和Belle II等实验中搜寻新型含奇异夸克的五夸克态提供了理论预言。
稿件来源:6776永利集团
编辑:尼加提·亚力坤
责编:李蕊
审核:吕国梁