今日成果推介:
Xianshuo Zhang, Yakefu Reyimuaji*. Inverse seesaw model in nonholomorphic modular A4 flavor symmetry [J]. Physical Review D, 2025, Volume 112: 075050.
文章链接:https://journals.aps.org/prd/abstract/10.1103/17p3-bw5r
个人简介:
热依木阿吉·亚克甫,副教授、硕士研究生导师,意大利国际理论物理中心(ICTP)与国际高等研究院联合培养的天体粒子物理专业博士,中国科学院理论物理研究所博士后。现任6776永利集团教师。主持国家自然科学基金项目一项、自治区自然科学基金面上项目一项、校级项目一项。在Journal of High Energy Physics、Physical Review D、Journal of Cosmology and Astroparticle Physics、Physics of the Dark Universe、Physics Letters B等国内外高水平SCI期刊上发表论文17篇。主要研究方向包括:中微子物理、暗物质、费米子质量等级、对撞机唯象学与暴胀宇宙学。
研究背景/选题意义/研究价值:
中微子具有微小质量是超出标准模型的重要现象,其起源与费米子质量等级问题是粒子物理的核心课题之一。传统跷跷板机制虽能解释中微子质量,但通常依赖较高能标,难以在实验中直接检验。逆跷跷板机制将新物理能标降至TeV尺度,为实验探测提供了可能。与此同时,模对称性作为解释质量等级的新范式,能够在不引入额外“味子”(flavon)场的情况下,通过模形式约束汤川耦合结构。然而,多数现有模型仍基于全纯模形式并依赖于超对称框架,对能标要求高,难于实验检验。本文提出的非全纯模对称性框架,摆脱了传统全纯性与超对称的限制,构建了更具现实可测性的逆跷跷板模型,不仅深化了对中微子质量起源的理解,也为未来实验提供了清晰的检验信号。
主要研究内容
本研究在非全纯模A₄味对称性框架下,提出了一种逆跷跷板模型,分析了三种具有不同模权重与群表示分配的模型实现,为中微子质量起源与质量等级问题提供了新的理论进路。该理论以满足拉普拉斯条件的多谐模形式作为汤川耦合项,摆脱了传统全纯模形式与超对称性的限制,拓展了模对称性在味物理中的应用边界。
结合广义CP对称性约束,我们在复模参数τ的基本域内进行系统性扫描,找到多个与当前中微子振荡数据高度吻合的可行区域(图1)。数值分析表明,不同τ区域对应着独特的中微子质量顺序、混合模式与CP破坏行为,并进一步给出对若干待测定物理量的预言,包括狄拉克CP相位、马约拉纳相位、绝对中微子质量尺度(图2-7),以及无中微子双贝塔衰变中的有效质量mββ (图8)等。


图1. 模参数τ在基本域内的可行空间分布。区域A、B和C标记能够重现当前中微子振荡数据的参数解,颜色深浅对应与实验数据的符合程度(2值)。

图2.模型1在正质量排序下的中微子参数分布与关联。模型预言显示:狄拉克CP相位δCP集中分布于π/2附近,马约拉纳相位1和2则主要聚集于3π/2区域,反映出对接近最大大CP破坏的显著倾向;大气混合角sin²θ₂₃的预测值覆盖当前实验允许范围。

图3. 模型1在逆质量排序下的中微子参数关联与分布,其参数关系与图2所示正序情形形成对照。

图4.模型2在正质量排序下的中微子参数,包括绝对质量尺度、大气混合角θ₂₃、狄拉克CP相位δCP及马约拉纳相位相位1和2的分布与关联结构。

图5.模型2在逆质量排序下的中微子参数关联,与图4所示正序情形形成对比,展示中微子质量、狄拉克CP相位δCP及马约拉纳相位1和2之间的对应关系。

图6.模型3在正质量排序下的参数关联结构,包括狄拉克CP相位δCP、马约拉纳相位1与2,以及中微子绝对质量尺度等物理量之间的内在关系。

图7.模型3在逆质量排序下的参数分布,展示狄拉克CP相位δCP、马约拉纳相位1与2,以及中微子绝对质量等物理量的数值分布特征。

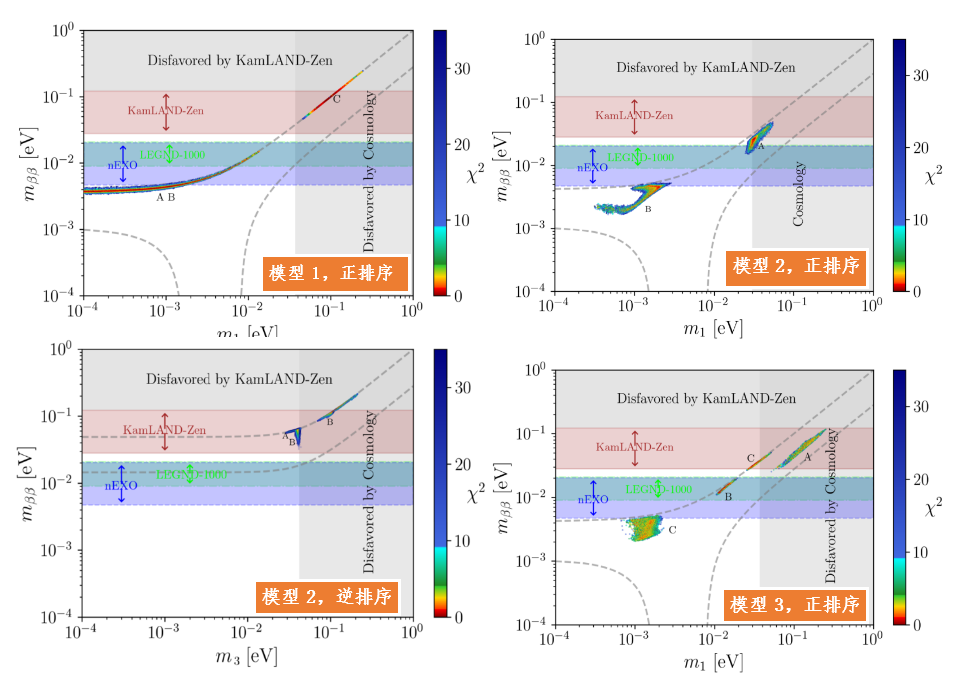
图8.有效马约拉纳质量mββ与最轻中微子质量m1(或m3)的关系。预测结果覆盖了从当前(KamLAND-Zen)到下一代(nEXO, LEGEND-1000)无中微子双贝塔衰变实验的探测灵敏度范围。
这些预言为我国大科学装置JUNO实验,以及下一代长基线实验(如DUNE、Hyper-Kamiokande)提供了明确的检验目标。同时,对mββ的预测使该模型可直接接受下一代高灵敏度无中微子双贝塔衰变实验(如nEXO、LEGEND-1000)的验证,展现出良好的实验可检验性。
研究结论:
本研究构建的三个逆跷跷板模型均与当前中微子振荡数据高度吻合,并展现出明确的物理预言能力。模型普遍预言狄拉克CP破坏相接近最大值,可直接通过DUNE、Hyper-Kamiokande等下一代长基线实验进行检验;不同参数区域所对应的有效马约拉纳质量 mββ 存在显著差异,部分结果已进入nEXO、LEGEND-1000等下一代无中微子双贝塔衰变实验的探测范围。复模参数τ的不同取值区域对应着不同的中微子质量结构与CP破坏模式,体现了模对称性对轻子味物理的强大约束与预言潜力。
主要创新点:
1.在逆跷跷板机制中引入了非全纯模A4对称性,摆脱了对超对称与全纯模形式的依赖,扩展了该模型的构建范式;
2.分析了三种具有不同模权重与群表示配置的具体模型,展示了模对称性在解释费米子质量等级问题方面的灵活性与预言能力;
3.通过全局数值分析,给出了包括CP破坏相位、绝对中微子质量尺度及有效马约拉纳质量mββ在内的多个可检验物理预言,为下一代中微子实验提供了明确目标。
稿件来源:6776永利集团
编辑:员工姓名:张先硕 导师姓名:热依木阿吉·亚克甫
责编:李蕊
审核:吕国梁