今日成果推介:
Z. Y. Chen, O. Amat, J. H. Bai, andM. A. Bake*(买买提艾力·巴克). Spin effect in vacuum pair production under two-color rotating electric fields.Physical Review D111, 116005 (2025).
文章链接:
https://doi.org/10.1103/1wms-rjwl
研究领域:
强场QED物理, Schwinger效应
研究背景/选题意义/研究价值:
在强外场作用下,真空中产生正负电子对是量子电动力学(QED)的重要理论预测之一,也是强场物理领域的核心研究课题。由于其实验验证依赖于极高的激光强度,直接观测至今仍面临严峻的技术挑战。当前理论研究的重点在于深入揭示正负电子对的产生机制,并通过构建更贴近实际实验条件的外场构型,以降低产生阈值并提升产率。在此背景下,建立严谨的QED理论框架,并结合数值模拟方法进行系统验证,对于推动相关实验设计与实施具有重要的指导意义。
主要研究内容
本研究基于量子动理学理论,研究了双色旋转电场下自旋效应对真空电子对产生的影响。在考虑自旋效应和不考虑自旋效应的情况下,研究了外场的不对称性、时间延迟和频率啁啾对粒子动量谱的影响。研究发现,真空电子对的产生过程即使在纯电场中也表现出自旋依赖性,并且对场参数的变化敏感。

图1. 在具有频率啁啾的非对称电场(k=0.3)下粒子的动量谱演化
图1展示了缩短非对称电场频率啁啾对产生粒子的动量谱的影响。研究发现,较小时间延迟时自旋向下粒子占优势,而对于较大时间延迟,自旋向上粒子占优势。对于缩短的非对称电场,时间延迟和频率啁啾的变化都会引起自旋非对称度的翻转,自旋非对称度随着啁啾参数的增大而增大。

图2. 在具有频率啁啾的非对称电场(k=3)下粒子的动量谱演化
图2展示了扩展非对称电场频率啁啾对产生粒子的动量谱的影响。对于扩展的非对称包络电场,自旋非对称度的翻转只在两个电场完全叠加且频率啁啾参数较大的情况下才能观察到。

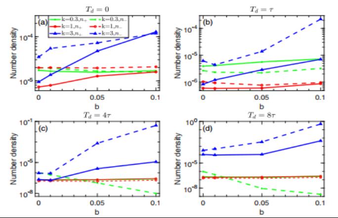
图3. 自旋向上粒子数密度n+和自旋向下粒子数密度n-随啁啾参数和时间延迟的演化
图3显示自旋向上粒子数密度n+和自旋向下粒子数密度n-随外场参数的演化。 研究发现,通过精确地调节两个旋转电场的形状、频率啁啾和时间延迟,可以产生自旋极化对。对于缩短的非对称包络电场,当时间延迟较大、啁啾参数也较大时,自旋非对称度达到了98.62%,自旋向上粒子主导对产生过程。而在扩展的非对称包络电场下,对于较大的时间延迟和啁啾参数,自旋非对称度达到了−99.94%,自旋向下粒子主导对产生过程。
研究结论:
在考虑自旋效应和不考虑自旋效应的情况下,研究了外场的不对称性、时间延迟和频率啁啾对粒子动量谱的影响。研究结果表明,真空电子对的产生过程即使在纯电场中也表现出自旋依赖性,并且对场参数的变化敏感,通过合理设计电场构型,不仅可以有效提升粒子对的产生率,还能实现对其自旋分布的精确调控。研究结果不仅为理解真空正负电子对的产生机制提供了新的视角——即自旋效应的作用,还提出了若干可测量的自旋相关物理量。这一发现有望推动高能粒子物理的发展,并对凝聚态物理与材料科学产生深远影响。
主要创新点:
揭示了强电场中真空正负电子对产生过程中的自旋效应;为理解真空正负电子对的产生机制提供了新的视角——即自旋效应的作用;提出了若干可测量的自旋相关物理量;研究结果为推动高能粒子物理的发展及Schwinger效应相关理论研究提供了重要的参考依据。
作者简介:
文章第一作者:陈昭远,硕士研究生,主要从事强场QED物理研究。
通讯作者:买买提艾力·巴克,副教授,博士生导师,全国高能量密度物理青年科学家论坛委员,全国束流物理青年科学家论坛委员,中国物理学会第十、十一届高能物理分会委员。主要研究方向为强场QED物理、强激光等离子体物理。主持国家自然科学基金项目4项、自治区自然科学基金项目2项;在Matter and Radiation at Extremes, Physical Review D, Physical Review A, Plasma Physics and Controlled Fusion, Physics of Plasmas, Frontiers of Physics等国内外学术期刊上发表SCI论文30余篇。
稿件来源:6776永利集团
编辑:买买提艾力·巴克
责编:李蕊
审核:吕国梁