今日成果推介:
M. A. Bake*(买买提艾力·巴克),O. Olugh. “Vacuum pair production in spatially asymmetric time-oscillating electric fields”.Physical Review D112, 146005 (2025).
文章链接:
https://doi.org/10.1103/myr3-ql9h
研究领域:
强场QED物理, Schwinger效应
研究背景/选题意义/研究价值:
在强外场作用下,真空中产生正负电子对是量子电动力学(QED)的重要理论预测之一,也是强场物理领域的核心研究课题。由于其实验验证依赖于极高的激光强度,直接观测至今仍面临严峻的技术挑战。当前理论研究的重点在于深入揭示正负电子对的产生机制,并通过构建更贴近实际实验条件的外场构型,以降低产生阈值并提升产率。此外,正负电子对的动量分布因其蕴含丰富的物理特征信息,近年来逐渐成为研究热点。在此背景下,建立严谨的QED理论框架,并结合数值模拟方法进行系统验证,对于推动相关实验设计与实施具有重要的指导意义。
主要研究内容:
本研究基于DHW理论,系统研究了空间非对称含时电场中真空正负电子对的产生过程。结果表明,电场的空间非对称性和时间调制特性显著影响电子对产生率与物理特征。

图1.在不同频率的空间非对称电场中产生粒子的动量分布
图1展示了空间非对称电场对正负电子对产生率的影响。研究发现,相较于对称场构型,空间非对称性可显著提高正负电子对的产生率。同时,外场的时间特性在决定正负电子对产生机制方面起关键作用:低频场有利于非微扰隧穿机制的发生,而高频场则主导多光子过程。

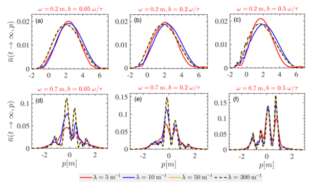
图2.在不同频率啁啾的空间非对称电场中产生粒子的动量分布
图2揭示了不同频率啁啾对产生粒子动量谱有显著影响。研究同时发现,频率啁啾不仅破坏了动量谱的对称性,还能有效提升正负电子对的产生率。在ω = 0.7m且b = 0.5ω/τ的条件下,观测到粒子数密度显著增强——峰值数密度最高可增加九倍。

图3.空间非对称电场初始相位对正负电子对产生的影响
图3显示空间非对称电场初始相位对正负电子对产生的影响。研究发现,初始相位对动量谱中的干涉图样具有显著影响。在高频区域,当相位为π/2时,粒子产额达到最大值,这归因于此时的有效场强更高,且电场周期的时序更有利于粒子生成。
研究结论:
电场的空间非对称性与时间调制对真空电子对产生过程的效率及特性具有显著影响。研究表明,通过合理设计电场构型,不仅可以有效提升粒子对的产生率,还能实现对其动量分布的精确调控。上述结果为将来的高强度激光实验的优化设计以及Schwinger效应相关理论研究提供了重要参考。
主要创新点:
揭示了空间非均匀强场中真空正负电子对产生过程中的空间效应;通过优化外场构型建立了同时提升产率并调控动量分布的有效模型;为高强度激光实验及Schwinger效应理论研究提供了重要依据。
作者简介:
文章第一作者/通讯作者:买买提艾力·巴克,副教授,博士生导师,全国高能量密度物理青年科学家论坛委员,全国束流物理青年科学家论坛委员,中国物理学会第十、十一届高能物理分会委员。主要研究方向为强场QED物理、强激光等离子体物理。主持国家自然科学基金项目4项、自治区自然科学基金项目2项;在Matter and Radiation at Extremes, Physical Review D, Physical Review A, Plasma Physics and Controlled Fusion, Physics of Plasmas, Frontiers of Physics等国内外学术期刊上发表SCI论文30余篇。
稿件来源:6776永利集团
编辑:买买提艾力·巴克
责编:李蕊
审核:吕国梁